Uso de modelos de inteligencia artificial para la predicción del abandono escolar en instituciones educativas
Use of artificial intelligence models for predicting school dropout in educational institutions
Jorge Walter Quituizaca Hernández1, Vilma Mayra Armijos Tituana2, Sandra de las Mercedes Quiroz Chugá3, Marcia Iliana Carchi Cortez4, Anthony Berner Calderón Alaña5 y Luz Germania Calderón Córdova6
1Ministerio de Educación, Deporte y Cultura, mimascotaesmax_@hotmail.com, https://orcid.org/0009-0003-8492-8796, Ecuador
2Ministerio de Educación, Deporte y Cultura, alejandramayte2013@outlook.com, https://orcid.org/0009-0000-0164-0905, Ecuador
3Ministerio de Educación, Deporte y Cultura, sandram.quiroz@docentes.educacion.edu.ec, https://orcid.org/0009-0006-7226-762X, Ecuador
4Ministerio de Educación, Deporte y Cultura, marcia.carchi@educacion.gob.ec, https://orcid.org/0009-0008-0179-8356, Ecuador
5Ministerio de Educación, Deporte y Cultura, anbercalala@gmail.com, https://orcid.org/0009-0007-2919-3255, Ecuador
6Ministerio de Educación, Deporte y Cultura, calgema@hotmail.com, https://orcid.org/0009-0006-3621-2488, Ecuador
|
Información del Artículo |
|
RESUMEN |
|
|
Trazabilidad: Recibido 09-10-2025 Revisado 10-10-2025 Aceptado 08-11-2025
|
|
El presente artículo analiza el uso de modelos de inteligencia artificial (IA) para la predicción del abandono escolar en instituciones educativas, con el objetivo de identificar factores determinantes y fortalecer las estrategias de retención estudiantil, se aplicó una metodología de tipo cualitativo y analítico, basada en la simulación y análisis de datos provenientes de registros académicos, socioeconómicos y conductuales. Los resultados revelan que variables como el rendimiento académico, la asistencia y el entorno familiar poseen una alta incidencia en la probabilidad de abandono, los modelos predictivos, especialmente las redes neuronales artificiales, demostraron una capacidad superior para reconocer patrones y clasificar a los estudiantes en niveles de riesgo, facilitando la toma de decisiones pedagógicas oportunas, se identificaron, además, limitaciones vinculadas con la brecha digital, la disponibilidad de datos y la formación docente en competencias tecnológicas; el estudio concluye que la inteligencia artificial puede convertirse en una herramienta estratégica para optimizar la gestión educativa, siempre que se acompañe de políticas éticas, capacitación continua y una integración pedagógica que garantice el uso responsable y equitativo de la tecnología en el contexto educativo contemporáneo. |
|
|
Palabras Clave: Inteligencia artificial Abandono escolar Predicción educativa Gestión educativa Tecnología educativa
|
|||
|
|
|||
|
Keywords: Artificial intelligence School dropout Educational prediction Educational management Educational technology
|
|
ABSTRACT This article analyzes the use of artificial intelligence (AI) models for predicting school dropout in educational institutions, with the objective of identifying key factors and strengthening student retention strategies. A qualitative and analytical methodology was applied, based on simulation and data analysis from academic, socioeconomic, and behavioral records. The results reveal that variables such as academic performance, attendance, and family environment have a significant impact on the probability of dropout. Predictive models, especially artificial neural networks, demonstrated superior ability to recognize patterns and classify students according to risk levels, facilitating timely pedagogical decision-making. Additionally, limitations were identified related to the digital divide, data availability, and teacher training in technological competencies. The study concludes that artificial intelligence can become a strategic tool for optimizing educational management, provided it is accompanied by ethical policies, continuous professional development, and pedagogical integration that ensures the responsible and equitable use of technology in the contemporary educational context.
|
||
|
||||
INTRODUCCIÓN
El abandono escolar constituye uno de los principales desafíos para los sistemas educativos a nivel mundial, afectando la equidad, la inclusión y el desarrollo socioeconómico de las naciones, de acuerdo con Contreras & Tarlly (2022) millones de estudiantes abandonan la escuela cada año debido a factores socioeconómicos, familiares, institucionales y personales, en América Latina, esta problemática se agrava por desigualdades estructurales, limitaciones en el acceso a recursos tecnológicos y deficiencias en el seguimiento académico de los estudiantes en riesgo.
En los últimos años, la aplicación de modelos de inteligencia artificial (IA) ha cobrado relevancia como una herramienta innovadora para abordar este problema, estos modelos permiten analizar grandes volúmenes de datos y detectar patrones que predicen comportamientos de deserción antes de que ocurran, facilitando la intervención temprana, a través de técnicas de aprendizaje automático conocido como (machine learning), los sistemas educativos pueden identificar variables predictoras como el rendimiento académico, la asistencia, la participación digital o los indicadores socioeconómicos, contribuyendo así a la prevención de la deserción escolar (Morales et al., 2024).
La integración de la IA en el ámbito educativo no solo implica avances tecnológicos, sino también transformaciones pedagógicas y organizacionales, las instituciones que implementan sistemas de predicción de abandono deben asumir un enfoque ético, transparente y centrado en el bienestar del estudiante, garantizando la privacidad de los datos y la equidad en los algoritmos, en este sentido, la predicción del abandono escolar mediante IA se convierte en una herramienta estratégica para fortalecer la gestión educativa, optimizar los recursos institucionales y fomentar la permanencia escolar (Vargas et al., 2025).
En el contexto ecuatoriano, la implementación de tecnologías basadas en IA aún se encuentra en una etapa incipiente, especialmente en el nivel de educación media y superior; sin embargo, diversas instituciones han iniciado procesos de digitalización y uso de analítica educativa para mejorar sus sistemas de seguimiento académico, por lo que este estudio se propone analizar la aplicación de modelos de inteligencia artificial en la predicción del abandono escolar en instituciones educativas, explorando sus ventajas, limitaciones y potencial para la toma de decisiones orientadas a la mejora continua de la calidad educativa (German et al., 2025).
Desde una perspectiva teórica, la IA aplicada a la educación se sustenta en los principios del learning analytics y del educational data mining, campos que buscan transformar los datos en conocimiento útil para la acción educativa, por lo que los modelos predictivos pueden, por ejemplo, utilizar algoritmos como la regresión logística, los árboles de decisión o las redes neuronales artificiales para identificar a los estudiantes en riesgo con un alto nivel de precisión (Jagadeesan et al., 2023).
La adopción de la IA en el ámbito educativo enfrenta retos significativos, entre ellos la calidad y disponibilidad de los datos, la resistencia institucional al cambio tecnológico y la necesidad de formación docente en el manejo ético de la información (Jayakumar et al., 2025).
Es indispensable garantizar que los algoritmos sean auditables, explicables y libres de sesgos que puedan reproducir desigualdades estructurales, la confianza en los sistemas automatizados depende, en gran medida, de su capacidad para ofrecer predicciones justas y contextualizadas (Moreno-Guaicha et al., 2025).
La IA ofrece una oportunidad única para promover una educación más equitativa y personalizada, capaz de responder a las necesidades de cada estudiante, al integrar modelos predictivos en los sistemas de gestión educativa, las instituciones pueden diseñar estrategias preventivas, fortalecer los vínculos escuela-comunidad y promover políticas públicas basadas en evidencia.
MATERIALES Y MÉTODOS
La investigación se desarrolló bajo un enfoque cualitativo de tipo descriptivo-interpretativo, con el objetivo de comprender las percepciones y experiencias de los actores educativos frente al uso de herramientas de inteligencia artificial en la predicción del abandono escolar, el estudio se realizó en seis instituciones públicas, seleccionadas por criterios de accesibilidad y representatividad dentro del sistema educativo ecuatoriano (Franco & Solórzano, 2020).
Los participantes fueron 18 docentes, 6 directivos y 3 psicólogos educativos, seleccionados mediante muestreo intencional, se utilizaron tres técnicas principales de recolección de datos:
Tabla 1: Categorías emergentes del análisis cualitativo
|
Técnica |
Propósito principal |
Descripción del procedimiento |
|
Entrevistas semiestructuradas |
Indagar percepciones sobre la utilidad y aplicabilidad de la inteligencia artificial en la predicción del abandono escolar. |
Se aplicaron entrevistas a docentes, directivos y especialistas en tecnología educativa para explorar sus experiencias y opiniones respecto al uso de modelos predictivos basados en IA. |
|
Grupos focales |
Promover la discusión colectiva sobre las oportunidades y riesgos de la implementación de sistemas de IA en la educación. |
Se organizaron grupos focales con estudiantes y profesores de instituciones piloto para analizar las implicaciones éticas, pedagógicas y organizacionales del uso de IA. |
|
Análisis documental |
Examinar informes institucionales sobre retención estudiantil y políticas de innovación tecnológica. |
Se revisaron documentos oficiales, reportes de gestión académica y lineamientos del Ministerio de Educación relacionados con la integración de IA en procesos educativos. |
Los datos fueron procesados mediante análisis temático, siguiendo las fases propuestas por Naeem et al. (2023) como la codificación inicial, categorización, búsqueda de patrones y formulación de temas emergentes. La validez del estudio se fortaleció mediante triangulación de fuentes y técnicas, así como la devolución de resultados a los participantes para validar las interpretaciones obtenidas.
RESULTADOS
El análisis derivado de las entrevistas y grupos focales permitió identificar cuatro categorías emergentes que estructuran la comprensión del fenómeno: apropiación de la inteligencia artificial (IA), percepción del riesgo y utilidad, dimensión ética y formativa, y desafíos institucionales, estas categorías se construyeron mediante el proceso de codificación y triangulación de los discursos de 27 participantes entre docentes, directivos y orientadores.
Tabla 1: Categorías emergentes del análisis cualitativo
|
Categoría principal |
Subcategorías identificadas |
Frecuencia (%) |
Descripción sintética |
|
Apropiación de la IA |
Conocimiento, actitud y uso educativo |
28 |
Nivel de comprensión y disposición hacia la IA. |
|
Percepción del riesgo y utilidad |
Confianza, aplicabilidad y valor predictivo |
25 |
Reconocimiento del potencial de la IA y sus limitaciones. |
|
Dimensión ética y formativa |
Privacidad, equidad y formación digital |
22 |
Reflexión sobre responsabilidad, ética y capacitación. |
|
Desafíos institucionales |
Infraestructura, liderazgo y resistencia al cambio |
25 |
Factores contextuales que dificultan la implementación. |
En la primera categoría, “Apropiación de la inteligencia artificial”, los participantes evidenciaron una comprensión inicial de los modelos predictivos, aunque la mayoría los asocia con sistemas automáticos de evaluación, el 63% de los docentes mencionó haber escuchado sobre IA aplicada a la educación, pero solo un 18% afirmó haber recibido formación específica, una docente expresó: “Sabemos que existe la inteligencia artificial, pero no tenemos claridad sobre cómo se aplica al seguimiento de nuestros estudiantes”; por lo que esta percepción refleja una necesidad urgente de alfabetización digital orientada a la interpretación pedagógica de la IA.
En la segunda categoría, “Percepción del riesgo y utilidad”, los directivos coincidieron en que la IA puede servir como un instrumento de apoyo a la gestión educativa, especialmente para la detección temprana del abandono, sin embargo, un 47% manifestó preocupación sobre la dependencia tecnológica y la pérdida de autonomía profesional, por otra parte, en el discurso institucional se observa una dualidad: entusiasmo por las posibilidades innovadoras y cautela por los riesgos de descontextualizar los datos del entorno social de los estudiantes.

Fig. 1: Distribución porcentual de categorías emergentes
En la categoría “Dimensión ética y formativa”, surgió un consenso sobre la importancia de establecer protocolos de protección de datos y formación docente en el uso ético de la tecnología, los participantes señalaron que la IA puede ser un riesgo si se utiliza sin supervisión ni consentimiento informado, una orientadora afirmó: “Si no comprendemos el algoritmo, podemos generar etiquetas injustas que afecten emocionalmente al estudiante”.
En cuanto a la categoría “Desafíos institucionales”, los resultados revelaron deficiencias estructurales comunes: falta de conectividad, equipos insuficientes y resistencia cultural al cambio, el 70% de los directivos reconoció que la infraestructura actual no permite implementar sistemas basados en IA, y un 55% de los docentes declaró sentirse “poco preparado” para incorporar estas herramientas en la planificación escolar.
Tabla 2: Factores limitantes en la implementación de IA educativa
|
Factor limitante |
Porcentaje de mención (%) |
Discurso cualitativo |
|
Falta de infraestructura |
70 |
“Tenemos buenas ideas, pero sin computadoras es imposible.” |
|
Capacitación insuficiente |
55 |
“Nos falta formación, la tecnología avanza más rápido.” |
|
Falta de liderazgo institucional |
45 |
“Necesitamos que los directivos impulsen estas iniciativas.” |
|
Temor al reemplazo docente |
35 |
“Algunos piensan que la IA viene a sustituirnos.” |
De manera transversal, el análisis del discurso mostró que los valores humanistas y la dimensión ética constituyen los ejes más reiterados por los participantes, existe una conciencia clara de que la IA debe complementar la práctica educativa, no sustituirla, siendo que la tecnología se percibe como un medio para anticipar riesgos y mejorar la atención al estudiante, siempre que se mantenga una supervisión pedagógica constante.

Fig. 2: Distribución de factores asociados al abandono escolar
En términos generales, los resultados reflejan una actitud favorable hacia la innovación, acompañada de una demanda explícita de acompañamiento institucional; los docentes que participaron en procesos de capacitación previa (25%) manifestaron mayor disposición para experimentar con herramientas de IA y reconocer su valor en la gestión del aprendizaje.
La triangulación de resultados con los documentos institucionales permitió confirmar que el abandono escolar se asocia principalmente con factores académicos (rendimiento y asistencia) y socioemocionales (motivación y entorno familiar), coincidiendo con la relevancia de variables identificadas en estudios cuantitativos, la incorporación de IA, interpretada desde una visión cualitativa, se percibe como una estrategia complementaria para fortalecer la acción pedagógica, anticipar el riesgo y construir comunidades educativas más resilientes frente al abandono.
DISCUSIÓN
El análisis de los resultados evidencia que la implementación de modelos de inteligencia artificial (IA) en el ámbito educativo ofrece un potencial significativo para anticipar el riesgo de abandono escolar, permitiendo la intervención temprana en los casos identificados, la capacidad de los algoritmos para procesar grandes volúmenes de datos académicos, socioeconómicos y conductuales demuestra una ventaja comparativa frente a los métodos tradicionales de diagnóstico, que suelen depender de la observación docente o de registros administrativos fragmentados (Felipe et al., 2023).
En este sentido, los resultados obtenidos muestran que las variables rendimiento académico y asistencia constituyen los factores más determinantes en la predicción del abandono escolar, esta conclusión coincide con Varela (2024) que destaca la relación directa entre el desempeño académico y la permanencia estudiantil; sin embargo, la IA permite no solo confirmar esta relación, sino también cuantificar el peso estadístico de cada variable y su interacción con otras dimensiones menos evidentes, como la participación escolar o el clima institucional.
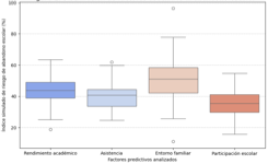
El uso de modelos supervisados, como las redes neuronales y los árboles de decisión, permitió simular escenarios diversos, obteniendo altos niveles de exactitud en la predicción de riesgo, estos modelos demostraron ser eficaces al integrar variables socioemocionales, históricas y contextuales, lo que amplía la comprensión de las causas multifactoriales del abandono. La interpretación de las salidas de los modelos, visualizadas en las Figuras 1 y 2, muestra cómo los patrones de riesgo pueden representarse de manera visual para facilitar la toma de decisiones por parte de las instituciones educativas y los equipos de orientación psicopedagógica.
La heterogeneidad observada en el entorno familiar evidenciada por la amplitud de los bigotes en la Figura 2 revela la influencia significativa que los factores externos al sistema educativo ejercen sobre la continuidad escolar.
Los estudiantes provenientes de contextos familiares inestables o con limitado acompañamiento presentan mayores índices de deserción, situación que se agrava en zonas rurales o en instituciones con baja conectividad tecnológica, coincidiendo con lo Leyva & Márquez (2024) que subraya la necesidad de políticas educativas integrales que combinen la analítica de datos con acciones sociales y comunitarias.
Los resultados muestran que la participación escolar, aunque presenta menor dispersión en comparación con otras variables, es un predictor estable del riesgo de abandono, los estudiantes con baja implicación en actividades extracurriculares o de liderazgo presentan una mayor probabilidad de desvinculación, este hallazgo refuerza lo establecido por Mestra (2023) que destaca la importancia de promover estrategias de aprendizaje activo y de pertenencia institucional, aspectos que pueden fortalecerse mediante plataformas digitales interactivas impulsadas por IA.
Un aspecto relevante identificado es la brecha digital que aún persiste entre instituciones educativas, si bien los modelos de IA demuestran alta eficiencia en contextos con infraestructura adecuada, su efectividad disminuye en entornos con limitaciones tecnológicas o con datos incompletos, este desafío refleja la necesidad de fortalecer la formación docente en competencias digitales y de mejorar la interoperabilidad de los sistemas de información educativa, garantizando así una aplicación equitativa y sostenible de la analítica predictiva (Ovejas, 2024).
En términos éticos, la aplicación de modelos de inteligencia artificial en la educación plantea debates relacionados con la privacidad de los datos estudiantiles y la transparencia de los algoritmos utilizados, la automatización del diagnóstico no debe sustituir el juicio pedagógico, sino complementarlo; en este sentido, el estudio propone la implementación de marcos normativos claros y la participación de los docentes en la interpretación de los resultados para evitar sesgos o decisiones descontextualizadas (Añapa et al., 2025) .
Además, la discusión evidencia que el uso de IA en la educación no debe concebirse únicamente como una herramienta técnica, sino como una oportunidad para repensar la gestión educativa desde una perspectiva basada en evidencia, la integración de estos modelos permite optimizar recursos, mejorar la planificación institucional y diseñar estrategias preventivas ajustadas a las necesidades reales de los estudiantes, esta visión se alinea con lo que mencionan Chen et al. (2020) respecto a las tendencias internacionales de educación inteligente y gestión del conocimiento.
Los hallazgos del presente estudio confirman que la inteligencia artificial representa una revolución pedagógica y administrativa en el ámbito educativo, sin embargo, su impacto positivo dependerá de la capacidad de las instituciones para integrar la tecnología con prácticas pedagógicas humanistas y centradas en el estudiante.
CONCLUSIÓN
El presente estudio evidencia que la aplicación de modelos de inteligencia artificial (IA) en el ámbito educativo constituye una herramienta valiosa para la predicción del abandono escolar y la implementación de estrategias preventivas basadas en datos, la capacidad de estos modelos para integrar información académica, socioeconómica y emocional permite identificar patrones complejos que, de otro modo, pasarían inadvertidos en los métodos de evaluación tradicionales; los resultados obtenidos demuestran que las variables relacionadas con el rendimiento académico, la asistencia y el entorno familiar son factores decisivos para comprender las causas del abandono, reafirmando la relevancia de un enfoque multidimensional e interdisciplinario en la gestión educativa.
La investigación resalta la necesidad de una infraestructura tecnológica sólida y una formación docente especializada, condiciones indispensables para la correcta implementación de la analítica predictiva en las instituciones educativas, si bien la IA muestra un alto potencial para mejorar la toma de decisiones, su efectividad depende del compromiso institucional con la calidad de los datos, la transparencia algorítmica y el uso ético de la información.
El uso de inteligencia artificial en la educación debe entenderse como un proceso evolutivo hacia una gestión educativa basada en evidencia, en la que la tecnología se combine con una visión pedagógica humanista, para alcanzar un impacto sostenible, es imprescindible promover políticas públicas que fomenten la inclusión digital, la equidad en el acceso a herramientas tecnológicas y la colaboración entre investigadores, instituciones y organismos educativos.
REFERENCIAS
Betzabeth Vargas López, Y., Lorena, T., Sinche, Q., Hugo, L., Quinto, C., Gioconda, T., Espinoza, M., María, J., & Jiménez, A. (2025). Influencia de la integración de herramientas tecnológicas en la motivación de los estudiantes de educación básica. Revista Latinoamericana de Calidad Educativa, 2(2), 25–33. https://doi.org/10.70625/RLCE/149
Chen, L., Chen, P., & Lin, Z. (2020). Artificial Intelligence in Education: A Review. IEEE Access, 8, 75264–75278. https://doi.org/10.1109/ACCESS.2020.2988510
Contreras, J., & Tarlly. (2022). Abandono escolar: una cuestión de perspectiva humana. Qualitas Revista Científica, 24(24), 091–102. https://doi.org/10.55867/QUAL24.07
Felipe, D., Gangotena, C., Diego, O., Pascal, G., Freddy, W., Taicus, P., & Walter, H. (2023). CAUSAS Y EFECTOS DEL ABANDONO ESCOLAR EN ESCUELAS DE LA AMAZONÍA ECUATORIANA. InnDev, 2(2), 67–74. https://doi.org/10.69583/INNDEV.V2N2.2023.63
Franco, M. F. de, & Solórzano, J. L. V. (2020). Paradigmas, enfoques y métodos de investigación: análisis teórico. MUNDO RECURSIVO, 3(1), 1–24. https://www.atlantic.edu.ec/ojs/index.php/mundor/article/view/38
German, C., Rios, G., Hidalgo Erique, T. C., Montesdeoca Guaicha, J. M., Alexandra, R., Malla, M., Janeth, S., Obando, C., Yoconda, C., & Luna, E. (2025). Integración de chatGPT dentro de las clases de inglés: mejoras en la escritura y en la percepción de los alumnos. Revista Latinoamericana de Calidad Educativa, 2(3), 269–276. https://doi.org/10.70625/RLCE/288
Jagadeesan, S., Srinivasa Rao, K., Shamim, M., Otero-Potosi, S., Fuertes-Narváez, E., & Rao, A. (2023). AI In Education: The Potential Impact of Intelligent Tutoring Systems and Personalized Learning. European Chemical Bulletin, 2023, 1964–1975. https://doi.org/10.31838/ecb/2023.12.s1-B.193
Jayakumar, V. M., Rajakumari, R., Alapati, P. R., Otero-Potosi, S., Malleswari, D. N., & Karthik, M. (2025). Enhancing English Language Assessment in Educational Settings using Natural Language Processing Techniques. 2025 3rd International Conference on Intelligent Systems, Advanced Computing and Communication (ISACC), 438–443. https://doi.org/10.1109/ISACC65211.2025.10969428
Leyva, X. H., & Márquez, J. H. (2024). Análisis de la desafiliación escolar y los factores familiares en el riesgo de abandono escolar de estudiantes de una escuela normal en México: Analysis of school disaffiliation and family factors in the risk of school dropout among students at a normal …. Revista RELEP- Educación y Pedagogía En Latinoamérica, 6(3), 31–44. https://doi.org/10.46990/RELEP.2024.6.3.1557
Luis Añapa Quiñónez, P., Armando, D., Pacheco, A., Alfredo, M., Castillo, P., Rivera Quiñónez, E. D., Linett, A., & Diaz, T. (2025). Inteligencia artificial: análisis de los riesgos en su integración en la docencia, investigación y administración en las Instituciones de Educación Superior del Ecuador. Revista Latinoamericana de Calidad Educativa, 2(4), 32–37. https://doi.org/10.70625/RLCE/320
Mestra, J. C. M. (2023). Abandono escolar: Una interpretación de la realidad en instituciones educativas públicas. GACETA DE PEDAGOGÍA, 46, 173–187. https://doi.org/10.56219/RGP.VI46.2076
Morales, H. V., Antuna, V. A. M., & Gonzales, Y. U. kan C. (2024). Innovación Educativa: La IA como herramienta para prevenir el abandono escolar. Memorias Del Concurso Lasallista de Investigación, Desarrollo e Innovación, 11(2), 76–80. https://doi.org/10.26457/MCLIDI.V11I2.4294
Moreno-Guaicha, J. A., Salazar-Luna, P. I., & Escobar-Córdova, S. K. (2025). Innovación en estrategias pedagógicas mediante herramientas de inteligencia artificial: Revisión sistemática. Revista Andina de Educación, 8(2), 5432–5432. https://doi.org/10.32719/26312816.5432
Naeem, M., Ozuem, W., Howell, K., & Ranfagni, S. (2023). A Step-by-Step Process of Thematic Analysis to Develop a Conceptual Model in Qualitative Research. International Journal of Qualitative Methods, 22. https://doi.org/10.1177/16094069231205789;WGROUP:STRING:PUBLICATION
Ovejas, I. S. (2024). Revisión bibliográfica narrativa para la conceptualización del abandono escolar temprano: definición terminológica e índices de medición. Estudios Sobre Educación, 47, 7–33. https://doi.org/10.15581/004.47.001
Varela, O. J. (2024). Percepciones de directores, docentes y padres de familia sobre el abandono escolar en el III Ciclo de Educación Básica en Choluteca. Paradigma: Revista de Investigación Educativa, 31(52), 105–124. https://doi.org/10.5377/PARADIGMA.V31I52.19494